v-innovate Technologies' targeted metabolomics services target specific metabolites and pathways of interest, which can accurately monitor dynamic metabolic processes, reveal related metabolic mechanisms and verify potential metabolic biomarkers, to guide your research with reliable and accurate measurement results.
Glucosinolates, abbreviated as glucosinolate, is an important secondary metabolite in cruciferous vegetables. There are more than 130 glucosinolates that have been discovered.
Glucosinolates are found in various edible plants, such as cabbage, Brussels sprouts, watercress, horseradish, capers, and radishes.
The pungent taste of these plants is due to the mustard oil produced by glucosinolates when the plant material is chewed, cut or otherwise damaged.
These natural chemicals are likely to contribute to the defense of plants against pests and diseases, and give cruciferous vegetables a unique flavor.
Glucosinolates are easily hydrolyzed to produce degradation products under the action of endogenous mustardase. The formation of these products is affected by pH and certain ions, and they have different physiological functions.
Allyl isosulfate vinegar is a component that produces a characteristic aromatic odor of cruciferous vegetables such as mustard and cabbage.
Indole glucosinolates such as 3-indole methyl glucosinolate will produce indole 3-methanol, indole-3-acetonitrile and other compounds under enzymatic hydrolysis. These compounds have certain biological activities and can inhibit the growth of microorganisms and have a deterrent effect on certain insects and herbivores.
Sulforaphane, the degradation product of 4-methylthiooxybutyl glucosinolate, is the strongest enzyme inducer found so far, which can inactivate oncogenes.MS-based technical means can realize the qualitative and quantitative analysis of glucosinolates.
MS-based technical means can realize the qualitative and quantitative analysis of glucosinolates.
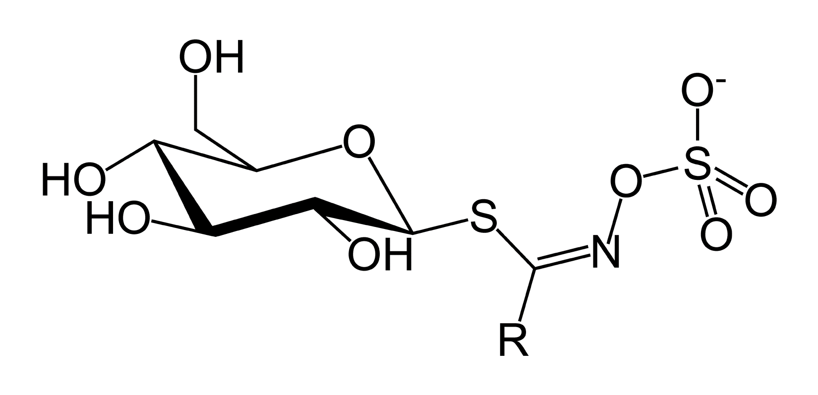
Glucosinolate structure (side group R varies)
| Glucosinolates | Chemical formula | CAS number |
|---|---|---|
| Allylglucosinolate (Sinigrin) | C10H16KNO9S2 | 3952-98-5 |
| Sinalbin (P-hydroxybenzyl Glucosinolate) | C14H19NO9S2 | 499-26-3 |
| Methyl Glucosinolate | C15H21NO9S2 | 499-30-9 |
| Glucoraphanin (4-methylsulfinylbutyl Glucosinolate) | C12H23NO10S3 | 21414-41-5 |
| Sulforaphane | C11H19NO10S2 | 585-95-5 |
※ The project items are constantly being updated, not only those listed, please contact us to get more latest information and related information.
Waters ACQUITY UPLC, MS-SCIEX QTRAP 4500/5500/6500 and Waters Xevo TQ-S
Agilent 7890B-5977A, Thermo TRACE 1300-TSQ 9000

With rich project experience, v-innovate Technologies has completed metabolic studies of hundreds of specie.
With a wealth of project analysis cases, suitable analysis solutions can be selected according to project needs to ensure accurate results.
Strict quality control system combined with high performance liquid chromatography-mass spectrometry system, as well as professional data preprocessing and analysis capabilities, to ensure the reliability and accuracy of data.
The high-resolution system combined with a rich standard library can simultaneously realize the absolute quantification of a variety of endogenous metabolites.
