Our melatonin (MT) profiling service allows you to detect and measure MT and its metabolites from single plant tissue samples. Whether you are working to improve crop productivity, uncover the biosynthesis, signaling and action of MT, v-innovate Technologies can help you comprehensively understand MT involvement in a plant’s biological processes.
Recent years, there has been a growing attention and interest in studies on MT (N-acetyl-5-methoxy-tryptamine) in plants. MT is an indoleamine neurohormone that has been identified in more than 140 plant species in the past 20 years. Studies have shown that MT is implicated in almost all of the plant growth and development stages. Additionally, MT is reported to effectively protect plant tissues via responses to a variety of abiotic and biotic stresses, including drought, salt, cold, heat, and pathogen infection. Accurate and sensitive detection and quantification of endogenous MT enable us to better understand its physiological functions, biological synthesis, metabolic pathways, and regulatory networks. Ultra-performance liquid chromatography (UPLC) coupled with mass spectrometry (MS) has been proved as a reliable approach for analyzing MT content in plants because of its high sensitivity, reproducibility and accuracy.
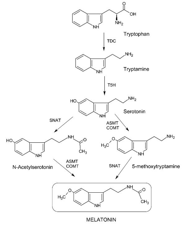
Figure 1. MTsynthesis pathway (Arnao & Hernández‐Ruiz 2020).
v-innovate Technologies offers a highly sensitive and selective method for detecting and quantifying MT in plants using UPLC-MS/MS. We are experienced in dealing with a variety of sample types, and achieve high sensitivity and specificity due to reduced background noise, without homogeneity between samples.

Quantitation method: external standard method
| Detectable MT | CAS | Quantitation Method |
|---|---|---|
| MT | 73-31-4 | External standard method |
Fresh plant tissues > 1 g. Please provide fresh plant tissues, if possible. Samples should be frozen in liquid nitrogen right after collection, and then transferred to -80°C for storage.
At least 3 biological replicates.
v-innovate Technologies is specialized in offering a battery of plant hormone analysis services that are powered by state-of-the-art gas chromatography coupled to mass spectrometry (GC-MS/MS) or UPLC-MS/MS, contributing to elucidating the functions, biological synthesis, metabolism, and networks of phytohormones.
References